
中文題目:來自原代供體匹配組織來源的馬間充質基質細胞的單細胞RNA測序揭示了免疫調節和細胞運動的功能異質性
英文題目:Single-cell?RNA?sequencing?of?equine?mesenchymal?stromal?cells?from?primary?donor-matched?tissue?sources?reveals?functional?heterogeneity?in?immune?modulation?and?cell?motility
發表雜志:Stem?Cell?Research?&?Therapy
影響因子:6.832
發表日期:2020.12
發表單位:美國康奈爾大學獸醫學院貝克動物健康研究所
研究背景
幾十年來,利用間充質基質細胞(MSCs)的組織工程和再生醫學被認為在各種疾病的臨床應用前景廣闊,然而,大量的表型和功能的批次之間的差異阻礙了基礎研究和臨床應用的效率和可重復性(Arezoo?et?al.,?2017,Arezoo?et?al.,?2018,Wei?et?al.,?2018)。MSC治療的療效被認為取決于從不同組織來源分離的MSC培養物和從同一組織來源分離的MSC的異質性,MSC異質性通常通過形態學、表面標記物的表達、細胞動力學、分化潛能和選擇基因表達模式來評估(Ho?et?al.,?2008,Meirav?et?al.,?2011)。單細胞RNA測序(scRNA-seq)是一種用于解剖細胞異質性的強大工具(Barrett?et?al.,?2019),但是到目前為止,還沒有關于供體匹配的組織來源的小鼠間充質基質細胞的scRNA-seq數據的報道(Zhou?et?al.,?2019),為了克服從不同組織來源收集供者匹配的間充質基質細胞的實際障礙,馬是很好的模型。
美國康奈爾大學獸醫學院貝克動物健康研究所Van?de?Walle研究團隊于2020年12月4日在Stem?Cell?Research?&?Therapy上發表了解析MSC異質性的研究進展。文章利用了scRNA-seq等技術探索三個不同組織來源(AT、BM、PB)的原代馬間充質基質細胞的源間和源內異質性,并確定了檢測到的轉錄差異與細胞運動和免疫調節功能的表型變異相對應,這將提高MSC?治療潛力,加速其從實驗室到臨床的過渡。
研究方法
在本研究中,作者從健康成年溫血母馬的脂肪組織(AT)、骨髓(BM)和外周血(PB)3種組織中分離出MSCs,基于scRNA-seq檢測到的轉錄差異,進行了功能實驗以檢查不同MSC群體的運動和免疫調節功能。
研究結論
來自三個不同組織來源的MSC培養物之間連接粘附分子2(JAM2)的差異表達轉化為BM來源的MSC的細胞運動性改變?;
來自相同組織來源的克隆MSC系中CXCL6表達的差異與PB衍生的MSCs的化學吸引能力相關。
實驗材料
材料:從健康成年溫血母馬的脂肪組織(AT)、骨髓(BM)和外周血(PB)3種組織中收集初生馬間充質基質細胞(MSCs?),無生物學重復,共計3個樣本。
方法:scRNA-seq,siRNA敲除,RT-PCR,Western?blotting,細胞增殖、粘附測定,細胞侵襲和遷移實驗,細胞克隆和細胞趨化實驗
研究結果
1.?scRNA-seq數據揭示了從供體匹配的組織來源分離的MSCs的來源間變異
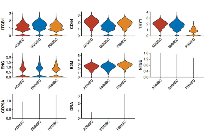
從健康成年溫血母馬的脂肪組織(AT)、骨髓(BM)和外周血(PB)3種組織中收集初生馬間充質基質細胞(MSCs?),共3個樣本,并根據它們分化成脂肪細胞、軟骨細胞和骨細胞的潛力以及細胞蛋白的表達模式進行表征實驗,幾乎沒有觀察到MSCs的源間或源內變化(Fig.?1a(i))。對來自骨髓,脂肪和外周血組織的MSCS進行流式細胞儀檢測,?結果顯示MSC標記基因ITGB1、CD44、THY、ENG和B2M基因在每個組織中都有大多數細胞表達(Fig.?1a(ii))。基于10x?genomic平臺進行了scRNA-seq分析,scRNA-seq數據進一步證實了流式細胞儀結果(Fig.?1b)。為了進一步揭示了MSCs的來源間變異,作者分析了三種組織來源的所有scRNA-seq數據,采用無監督聚類將細胞劃分為3個細胞亞群。聚類結果顯示細胞主要是通過來源組織聚集在一起的,將不同樣本用不同顏色標出恰好得到每個cluster幾乎完全對應著一個樣本(Fig.?2a)。熱圖顯示三個不同組織之間顯著差異表達基因(DEGs)(Fig.?2b),分別在AT、BM和PB來源的骨髓間充質基質細胞中檢測到37、35和20個DEGs。對每個組織來源分離的MSC中前5個DEGs表達水平進行小提琴圖展示(Fig.?2c)。


圖1從3個供者匹配的組織來源分離的馬間充質基質細胞(MSCs)的表征


圖2單細胞RNA測序(sc?RNAseq)數據揭示了馬間充質基質細胞(MSCs)的源間變異
2.?連接粘附分子2(JAM2)調節骨髓間充質基質細胞的細胞運動表型
scRNA-seq結果發現,JAM2相對于PB衍生的MSCs和AT衍生的MSCs,在BM衍生的MSCs中的表達水平顯著更高(Fig.?2c),作者在組間顯著差異表達的基因里邊挑選出了連接粘附分子2(JAM2),JAM2基因編碼JAM-2/JAM-B蛋白,有研究表明JAM-2在擴散、粘附、遷移和入侵的各種過程中發揮作用,作者通過RT-PCR驗證了來自這三種不同組織來源的MSCs中JAM2的表達模式。為了探索JAM2在MSC生物學中的作用,作者首先測定來自供體匹配脂肪組織(AT)、骨髓(BM)和外周血(PB)的MSCs中細胞增殖率的基線測量(Fig.?3a(i)),細胞粘附力(Fig.?3a(ii)),細胞入侵能力(Fig.?3a(iii)),以及細胞遷移能力(Fig.3a(iv))。然后作者使用RNA干擾(RNAi)來降低BM衍生的MSCs中JAM2的表達并做對比實驗,結果發現敲除JAM2對BM來源的MSCs增殖沒有顯著影響(Fig.?3b(i)),它也沒有改變粘附強度(Fig.?3b(ii)),但JAM2的敲除導致入侵能力增強(Fig.?3b(iii)),BM來源的MSCs遷移減少(Fig.3b(iv)),表明JAM-2調節BM來源的MSCs的細胞運動表型。總的來說,這些結果表明JAM2參與了BM衍生的MSCs的細胞侵襲和遷移。除了差異基因表達外,作者表明MSCs的源間異質性轉化為生物學相關的MSC功能,例如與細胞運動相關的功能。

圖3敲除骨髓間充質基質細胞(MSCs)的連接粘附分子2(JAM2)可改變細胞的運動性
3.?scRNA-seq數據揭示了從供體匹配組織來源分離的馬骨髓間充質基質細胞的來源內變異
無監督聚類分別將AT來源的MSCs、BM來源的MSCs和PBM來源的MSCs聚類為7,7,10個clusters(Fig.?4a)。根據作者最初的分析中,細胞周期相關基因的表達對聚類有很大的影響(Kowalczyk?et?al.,?2015)。在本研究中作者也觀察到一些明顯由與增殖一致的基因表達模式定義的簇(Fig.?4b),因此,作者進一步分析了G1?clusters和G2M/S?clusters,以確定不同細胞周期分類的簇間差異基因表達模式。在這種分組策略下,差異基因表達測試顯示來自AT、BM和PB衍生的MSCs中存在明顯的源內轉錄異質性,盡管在AT來源的MSCs中差異較小,差異表達基因?(DEGs)?以熱圖的形式進行展示?(Fig.?5)。為了檢查檢測到的clusters的假定生物學功能,作者對每個組織中的每個cluster進行了GO功能富集分析,其中BM來源的MSCs中排名最靠前的是cluster2的細胞遷移和cluster3中的慢性炎癥反應,PB來源的MSCs中排名靠前的是cluster4的蛋白組折疊和cluster6中的趨化性調節,AT來源的MSCs沒有檢測到任何顯著富集的GO?terms,表明檢測到的clusters之間的轉錄差異極小。

圖4單細胞RNA測序(sc?RNAseq)數據揭示了馬間充質基質細胞(MSCs)的源內變異


圖5從3個供體匹配組織來源分離的馬間充質基質細胞(MSCs)表現出源內轉錄異質性
4.?PB衍生MSC的克隆異質性揭示了趨化能力的功能差異
在PB-MSC和BM-MSC分析中顯著富集的GO?terms中,作者注意到與細胞遷移和趨化性相關的功能。作者使用體外限制性稀釋細胞克隆試驗來產生克隆的PB衍生MSC系,用于下游功能性趨化性試驗,探索MSC趨化活性可能的功能源內變異。根據scRNA-seq分析結果,從單個PB來源的MSCs中產生14個克隆細胞系,并通過RT-PCR評估各種趨化相關基因的表達。作者發現?C-X-C?基序趨化因子配體?6?(CXCL6),一種參與粒細胞募集的分子,相對于其他克隆,在克隆?5?中的表達水平顯著更高(Fig.?6a),這與scRNA-Seq檢測PB-MSC群體中少數細胞中CXCL6的表達一致(Fig.?6b-d)。將骨髓間充質基質細胞添加到帶有3μm孔插入物的transwell板的下孔中,該孔插入物接種有馬中性粒細胞。作者觀察到,與CXCL6?low?MSCs相比,CXCL6?hi?MSCs刺激中性粒細胞遷移到顯著更高的水平,而大量原始MSC培養刺激中性粒細胞遷移到中等水平(Fig.?6e)。當使用從?CXCL6hi?MSC?收集的條件培養基(CM)進行這些實驗時,觀察到了類似的結果(Fig.?6f),表明骨髓間充質基質細胞對趨化性的影響不需要直接接觸細胞。
這些結果表明,MSCs中的CXCL6表達水平與體外增加的中性粒細胞遷移相關,并提供了概念驗證,即PB衍生的MSCs中的源內異質性轉化為生物學相關功能,例如與免疫調節相關的功能。

圖6外周血(PB)來源的間充質基質細胞(MSCs)來源內的異質性轉化為不同的化學吸引能力
總結
本研究首次使用scRNA-seq技術來比較從單個供體的3個不同組織來源分離的間充質基質細胞?(MSCs)?的表達譜,單細胞分辨率下的基因表達譜表明,來自不同組織來源的MSCs在轉錄上是不同的,來自同一組織來源的MSCs也表現出基因表達的差異。來自三個供體匹配組織來源的MSC培養物之間JAM2的差異表達轉化為BM衍生的MSCs的細胞運動性改變,證明JAM2調節BM來源的MSCs的細胞運動表型。此外,來自相同組織來源的克隆MSC系中CXCL6表達的差異與PB衍生的MSCs的免疫調節功能相關。綜上,單細胞轉錄組學數據可以為功能研究提供理論基礎,更好地了解賦予MSC特定治療有益特性的細胞異質性以及開發捕獲和擴展具有這些特性的特定MSCs的方法。這些進展將加速MSC治療從基礎醫學的工作臺轉移至臨床。
如果您對該研究思路感興趣,歡迎點擊下方按鈕聯系我們。
參考文獻:
Harman?RM,?Patel?RS,?Fan?JC,?Park?JE,?Rosenberg?BR,?Van?de?Walle?GR.?Single-cell?RNA?sequencing?of?equine?mesenchymal?stromal?cells?from?primary?donor-matched?tissue?sources?reveals?functional?heterogeneity?in?immune?modulation?and?cell?motility.?Stem?Cell?Res?Ther.?2020?Dec?4;11(1):524.
doi:?10.1186/s13287-020-02043-5.
PMID:?33276815;
PMCID:?PMC7716481.



京公網安備 11011302003368號