百邁客一直秉承“生物科技長信,服務社會,造福人民”的企業使命,致力于讓生物科技更快,更好的提高人類生活質量。通過整合高通量測序技術、生物信息技術與云計算、大數據等新興IT技術,為用戶開啟生物科技服務2.0新時代。各種測序的經驗也都是十分豐富,今天給大家帶來一篇結直腸癌對腸道微生物群菌群落結構的影響研究報道,了解應用的新方向。詳解見下文:
摘要
背景: 結直腸癌是全球癌癥相關死亡的主要原因。想要了解結直腸癌的發生、發展和治療,人類腸道微生物菌群是一個熱門的研究領域。多項研究發現結直腸癌患者的腸道微生物群中特定細菌豐度與健康人群相比有顯著性變化,但是還沒有明確哪沒有一種細菌與所有病例相關。目前還不清楚這種變化與癌變的因果關系,但重點應放在解釋與癌癥相關的腸道微生物群落結構變化上。
結果:通過對先前發表的252份來自健康和晚期結直腸癌患者的全基因組測序糞便樣本進行新的分析,我們確定了癌癥相關人類腸道微生物菌群的分類、功能和結構變化。根據這些數據分析揭示了健康的腸道微生物菌群和結直腸癌相關腸道微生物菌群之間潛在的微生物群落結構變化的顯著差異。發現在分類學上和功能上與癌癥相關的細菌與其他細菌形成關聯,并且在功能上形成適應于與腫瘤相關的生態系統中的潛在變化的模塊。通過對這些樣本進行的微生物群落分析得到,與癌癥相關細菌的物種多樣性顯著增加,被歸類為源自口腔微生物菌群的物種相對豐度增加,包括Fusobacterium nucleatum, Peptostreptococcus stomatis, Gemella morbillorum還有Parvimonas micra等。分析群落功能的差異豐度后得出,與毒力因子和肽降解相關的功能表達增加,與結腸直腸癌腸道微生物菌群內氨基酸生物合成相關的功能表達減少。
結論:我們通過對大量晚期結直腸癌患者和健康受試者得到的全基因組測序糞便樣本,分析出結直腸癌相關腸道微生物菌群中發生的許多潛在的重要分類、功能和結構改變。分析表明,癌癥影響腸道微生物菌群中細菌的組成,一些特殊的口腔菌群及其相關菌群可能與腫瘤的發生有關。
實驗方法
材料:178位健康人(男女比例56.18/43.82)和74位晚期(52位三期/ 22位四期,男女比例58.11/41.89)結直腸癌患者的糞便樣本
方法:宏基因組測序,統計分析
研究方法
細菌群落分類學分析
使用基于em的方法計算每個樣本內物種的相對豐度,以構建一個樣本分類單元矩陣,通過測量每個樣本的細菌豐富度和Shannon指數,利用該矩陣探究兩個樣本組(健康和晚期CRC)的微生物多樣性。CRC組的樣本顯示出更大的多樣性,包括豐富度和Shannon指數(Mann-Whitney U檢驗:MWU);豐富度:MWU pvalue = 0.0005, Shannon指數:MWU pvalue = 0.0009)(圖一a,b)。由于物種多樣性的量度對物種均勻度和豐富度的敏感性不同,還應用了辛普森指數來計算樣本組內的物種多樣性,這些結果與之前的分析一致,CRC樣本中的物種多樣性與健康樣本中的物種多樣性有顯著性差異(MWU值= 0.0238).
評估健康和晚期結直腸癌相關腸道微生物群之間的細菌群落分類特征差異。對樣本分類群矩陣進行CLR轉換,使用主成分分析進行基于分類剖面的樣本排序。前兩個主成分只能解釋總方差的一小部分(PC1: 7.98%,PC2: 5.61%),基于主成分分析的線性變換未顯示健康樣本與CRC樣本有差異,但通過隨機森林分類器(RFC)可以區分兩個樣本組(AUC = 0.87)(圖 2a)。雖然RFC根據重要性對物種進行排序,但這些默認度量是有一定偏差。為獲得RFC提供的物種重要度的統計顯著性,在我特征集中包含一個“隨機”特征。通過使用100個RFC的集合,發現了17種細菌,在這些顯著“重要”物種上訓練的100個RFC的準確性分類得分大于在所有物種上訓練的100個RFC的準確性分類得分(所有物種平均準確性為74%;17個非常“重要”的物種平均準確率為80%(圖 2c)。物種差異豐度分析顯示,與健康腸道微生物組相比,CRC相關腸道微生物組中有174個物種的相對豐度顯著降低,10個物種的相對豐度顯著升高。這174個細菌物種分別來自84個屬,大多數來自 Enterobacter(6.8%), Klebsiella(6.3%), Streptococcus(5.2%), Lactobacillus (5.1%), Citrobacter(4.6%), Bifidobacterium(4%),Bacteroides(3.4%),以及 Clostridium(3.4%)。CRC中相對豐度顯著升高的10個物種是 Parvimonas micra(qvalue = 3.09e-09), Peptostreptococcus stomatis(qvalue = 4.51e-08), Gemella morbillorum(qvalue = 4.55e-08), Fusobacterium nucleatum(qvalue = 1.08e-06), Streptococcus anginosus(qvalue = 1.13e-03), Dialister pneumosintes (qvalue=1.37e-03),Peptostreptococcus anaerobius (qvalue=4.74e-03), Streptococcus sp. KCOM 2412(Streptococcus periodonticum)(qvalue = 7.18e-03), Ruminococcus torques(qvalue = 1.55e-02),以及ilifactor alocis(qvalue = 2.85e-02)。
有趣的是,許多在CRC中被認為非常“重要”且相對豐度較高的物種也存在于口腔微生物組中,也與部分口腔疾病(牙周炎、根尖周病變、根管感染、口腔癌等)、CRC風險的增加有關。隨后,我們通過人類口腔微生物數據庫(eHOMD)對我們樣本中的所有口腔物種進行分類,發現與健康組相比,CRC相關腸道微生物組內存在的總口腔微生物種群豐富度顯著增加(MWU: pvalue = 6.51e-05)(圖2 d)。

圖1

圖2
細菌群落功能分析
為分析健康的腸道微生物群落功能和結直腸癌腸道微生物群落功能的差異,還有蛋白質家族特點(TIGRFAMs)和蛋白質結構域(Pfams)。主成分分析解釋了樣本組間聚類中等方差分別是PC1: 27.19%、PC2: 4.33%。差異豐度分析顯示12個Pfams(與健康組相比,CRC升高7個,降低5個)和兩個TIGRFAMs(與健康組相比,CRC升高1個,降低1個)的相對豐度具有統計學顯著性差異(MWU-FDR: qvalue%3C 0.05)。在結直腸癌腸道微生物組中顯著升高的Pfams與細菌侵襲素和粘附素(例如FadA)有關,而顯著降低的Pfams與抗生素抗性、噬菌體成熟和蘇氨酸生物合成有關。CRC中顯著升高的單一TIGRFAM與脯氨酸亞氨基肽酶相關,而顯著降低的TIGRFAM再次與蘇氨酸生物合成相關。
細菌關聯網絡
首先,計算所有樣本中每種物種的流行率(圖3a),發現細菌種類流行計數在組內的分布呈現雙峰分布,一個峰值閾值為90%。我們將群體內樣本流行率超過90%的物種稱為高度流行物種(HPS),發現每一組HPS中的大多數物種是共享的(健康組:97%,CRC: 95%)(圖3b)。健康組中五個獨特的HPS是:Hespellia stercorisuis,Clostridium saccharolyticum,Monoglobus pectinilyticus, Streptococcus sp. oral taxon 431,和Odoribacter laneus。CRC關聯組獨有的八個HPS:Intestinibacillus massiliensis, Prevotella copri, Haemophilus parainfluenzae, Ruminococcus bicirculans, Streptococcus mitis, Neglecta timonensis, Bifidobacterium catenulatum,和Anaerotignum neopropionicum。Streptococcus mitis和 Haemophilus parainfluenzae都被eHOMD歸類為口腔微生物。發現HPS的相對豐度占樣品總相對豐度82%(圖3c)。除了這些高度普遍和豐富的物種之外,還納入一些被RFC認為非常“重要”的物種,并發現它們的豐度存在差異。增加了8個物種(arvimonas micra, Peptostreptococcus stomatis, Gemella morbillorum, Fusobacterium nucleatum, Streptococcus anginosus, Dialister pneumosintes, Peptostreptococcus anaerobius, and Ruminococcus torques)到物種群(共165種)的網絡構建中。將多個網絡屬性與隨機網絡中顯示的屬性進行比較來檢查網絡的非隨機性,與隨機網絡相比,健康組和CRC都表現出統計學顯著(Monte Carlo Simulation; MCS);較短的平均最短路徑長度(ASPL)(Healthy and CRC: MCS pvalue<?0.001),較高的傳遞性(Healthy and CRC: MCS pvalue<?0.001)和更高的模塊化(Healthy and CRC: MCS pvalue<?0.001)。這些結果表明,構建的網絡顯示出顯著非隨機的特性,并且網絡內的物種通過短路徑彼此連接,與它們的鄰近物種具有積極的關聯,并且形成模塊(即物種的組或集群),其特征在于在同一模塊內的物種之間發生的關聯占大多數,而與模塊外的物種存在的關聯很少。

圖3
群體網絡包含相似的關聯權重分布,正相關比負相關更多(圖4a)。值得注意的是,與健康網絡相比,CRC包含更多的負相關。29%的負相關涉及一種被認為是口腔微生物的物種,而在健康網絡中,沒有發現涉及口腔菌群。在網絡中發現的大多數關聯是該網絡獨有的(健康:69%,CRC:72%)(圖4b)。我們假設群落結構的這種巨大差異可以反映生態系統的變化,并進而分析了網絡中物種之間的分類關系(圖4c)。兩個網絡在同一屬內的物種(健康:MCS pvalue= 0.00099,CRC:MCS pvalue= 0.00099)和家族(健康:MCS值= 0.00099,CRC:MCS= 0.00099 )。然而,只有在健康組的網絡中,物種與來自同一順序的其他物種的積極相關仍然明顯多于隨機相關(健康:MCS pvalue= 0.00099,CRC: MCS pvalue = 0.44)。與健康網絡(健康:4%,CRC:17%)相比,CRC的網絡在分類上的遠緣關系中顯示出更大的豐度,在健康網絡中分類上的遠緣微生物之間的正關聯仍然顯著較少(門內:MCS值= 0.00099,門外:MCSp值= 0.00099)和CRC(門內:MCS pvalue= 0.00099,門外:MCS pvalue= 0.00099)而不是隨機網絡。

圖4
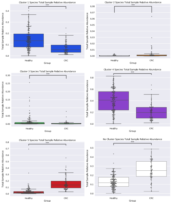
通過構建CLR轉換的模塊功能來比較模塊的潛在功能。模塊功能(蛋白域)圖譜的PCA顯示出較大的差異(PC1: 33.73%,PC2: 14.53%),模塊似乎形成包含兩組代表的簇團(圖 5a)。為了定義模塊的聚類,進行了輪廓分析,估計五個聚類作為用于K-均值聚類的最*K值(圖?5b)。通過K-均值聚類定義模塊聚類后(圖?5c)對這些集群進行了分類分析。在整個網絡中,同一集群內的模塊被發現在分類學上是相似的,不包括簇1和簇5,簇1和簇5顯示出物種占有的變化,其中在健康網絡的簇1內發現的一些物種被顯示在CRC組的簇5內。然而,兩個網絡對在簇2、3和4中發現的物種有很強的一致性。第2組中的物種僅有“致病菌”(即通常無害但在特定環境條件下具有致病能力的物種)口腔微生物,而簇3主要是鏈球菌種和簇4主要類桿菌種。隨后,進行聚類功能分析以發現蛋白質結構域,以及蛋白質家族的主要作用和次要作用,這使得聚類在功能上不同。簇1的功能與細胞表面粘附、對抗沖突策略、酪氨酸重組酶、多糖降解、糖胺聚糖結合、腫瘤蛋白酶抑制、過氧化物酶功能、碳水化合物/纖維素結合活性和氨基酸生物合成相關。簇2的功能涉及對宿主細胞和細胞外基質的粘附、細胞感染、膠原結合、補體抗性、鳥氨酸/賴氨酸/精氨酸脫羧酶(組織腐敗/多胺合成/酸性環境抗性)、金屬肽酶、V型分泌系統、氨的產生和有毒金屬離子的排泄(銅流出系統)、細胞包膜、DNA代謝、脂肪酸和磷脂代謝、表面多糖和脂多糖的生物合成和降解。簇3的功能與粘蛋白結合、鋅清除/吸收、細胞表面粘附、葡萄糖結合/轉運和銅結合、蛋白質和肽的命運/合成/分泌、多糖/碳水化合物、有機醇和酸的降解方面有關。簇4的功能涉及金屬結合、二瓜氨酸環化酶/磷酸二酯酶、群體感應、碳水化合物結合和半胱氨酸/木瓜蛋白酶、核苷和核苷酸、轉運和結合蛋白、TCA循環、鐵攜帶以及表面多糖的降解和生物合成。最后簇5的區別功能與氨肽酶、三羧酸受體、乙醇胺轉運、淀粉利用、木葡聚糖/多糖結合、能量代謝、氨基酸和胺、陽離子和鐵化合物、電子轉運以及表面多糖和脂多糖的生物合成和降解相關。檢查了在每個集群內發現的用于網絡構建的物種的豐度(健康:簇1 (33%)、簇2 (2%)、簇3 (5%)、簇4 (26%)、簇5 (7%)、無(27%);CRC:簇1 (19%)、簇2 (3%)、簇3 (3%)、簇4 (12%)、簇5 (30%)、無(33%)(圖6)。我們的發現表明,與健康組相比,在CRC中,第2類和第5類組模塊中發現的物種總數增加,第1類、第3類和第4類組中發現的物種減少。這些結果也反映在我們發現的總樣本相對豐度的統計顯著變化中,即群內物種在群間所占的比例(第一組: MWU值= 4.29 e-12;第二組:MWU值= 3.16 e-16;第三組:MWU值= 0.0002;第四組:MWU值= 2.62-13;第五組:MWUp值= 2.81 e-29;無集群物種:MWU值= 4.40-17(圖7)。此外,發現網絡內的大多數負面關聯(健康:100%,CRC:96%)發生在占據不同集群類型內模塊的物種之間。只有在CRC中,簇1的物種之間才出現集群內的負相關,其中物種種類和豐度也顯示出減少。

圖5

圖6



京公網安備 11011302003368號