號外!號外!號外!
ONT全長轉搭上代謝組帶你玩出不一樣的高度,且看全長轉錄組如何推陳出新。百邁客合作單位于2021年4月9日在J Agric Food Chem雜志上發表關于全長轉錄組在Zucker糖尿病的應用,下面一起來欣賞該文詳細解析。

英文題目:1H NMR Metabolomics and Full-Length RNA-Seq Reveal Effects of
Acylated and Nonacylated Anthocyanins on Hepatic Metabolites and Gene Expression in Zucker Diabetic Fatty Rats
發表雜志:J Agric Food Chem
影響因子:4.192
發表時間:2021年4月9日
原文鏈接:https://pubs.acs.org/doi/10.1021/acs.jafc.1c00130
摘要
花色苷是植物中的一大類多酚化合物,目前已知是對氧化應激、炎癥和能量穩態有調節作用。已有報道發現花色苷具有抗糖尿病的療效。花色苷的核心結構是花青苷,它可以糖基化形成非酰化的花青苷,糖苷可以酰化后形成酰化的花青苷。且最近有研究表明,與未酰化的花青苷相比,酰化花青苷具有更好的穩定性和抗氧化活性。本研究利用全長轉錄組學和核磁共振代謝組學方法,比較了非酰化和酰化花色苷對糖尿病大鼠肝臟基因表達和代謝的影響。這是第一次綜合應用這兩種強大的技術來研究肝臟基因表達和代謝產物的變化。
實驗設計
以喂養高脂飼料的雄性ZDF大鼠(fa/fa)作為2型糖尿病模型,瘦型且健康的 Zucker大鼠(fa/+)作為健康對照。干預8周后,禁食12h,異氟醚麻醉下處死。測量肝臟、附睪脂肪質量及其占體重的百分比。肝臟立即在液氮中冷凍,并儲存在?80°C下。

注:NAAB:藍莓非酰化花色苷提取物;AAPP:紫色馬鈴薯酰化花色苷提取物
實驗技術
用代謝組學方法檢測NAAB和AAPP對ZDF大鼠肝臟代謝產物的影響,并用ONT全長轉錄組方法研究其基因表達的變化。(ONT全長轉錄組測序由百邁客協助完成)
實驗設計思路
測序平臺
Nanopore ,1H NMR
文章結果
1、肝臟、附睪脂肪重量及不同組別DETs、DEGs的統計分析
表1中可見,M組的肝臟和附睪脂肪重量及其占體重的百分比顯著高于CON組和ND組(p<0.05)。CON組的大鼠肝臟重量和肝/體比明顯高于ND組(P<0.05)。H-AAPP組大鼠肝/體重比明顯低于M組(p<0.05)。
對全長轉錄組數據進行分析發現,在6個不同組之間的差異分析結果中,健康對照組和糖尿病模型之間有691個上調和1098個下調的DEGs,2469個上調和2483個下調的DETs (圖1A和B)。與M組相比,H-AAPP處理改變了最多的基因和轉錄本(101個上調和179個下調的DEGs,89個上調和780個下調的DETs)。DEGs和DETs的熱圖顯示,ND組和CON組在基因表達模式上與M組有很大不同,而且H-AAPP組的轉錄組圖譜似乎比M組更接近ND組和CON組(圖1C和D)。
高水平的肝臟重量和肝臟重量/體重比提示脂肪肝的發展。H-AAPP降低了這些水平,表明脂肪肝的狀態可能有所改善。與M組相比,H-AAPP組表現出最多的DEG和DET數,并且在轉錄水平上與CON和ND組屬于同一簇。因此,H-AAPP對ZDF大鼠可能起到最有益的作用。
表1.藍莓和紫色馬鈴薯花色苷對喂飼不同實驗飲食的瘦型Zucker大鼠(fa/+)和肥胖型Zucker大鼠(fa/fa)體重、肝臟質量、附睪脂肪及其占體重百分比的影響

圖1 DEGs(AC)及DETs(BD)的統計分析
2、ZDF大鼠中花色苷提取物對基因的修復作用
韋恩圖表明了不同分組之間上調和下調的DEG的交集,揭示了受NAAB和AAPP影響的特定基因(圖2A?D)。Gstm6與谷胱甘肽代謝、藥物代謝以及細胞色素P450對外源物質的代謝有關,在胰島素抵抗和糖尿病小鼠中均被報道下調,并可能參與T2D的進展。L-NAAB和H-NAAB均能恢復Gstm6的表達。與ND組和Con組相比,M組中有一個共同的基因被兩種花色苷提取物(NAAB和AAPP)上調,即編碼N-乙酰氨基葡萄糖轉移酶GnT-4a的Mgat4a。在小鼠中,Mgat4a基因的遺傳失活導致葡萄糖轉運蛋白2N-聚糖的錯誤組裝,導致葡萄糖轉運蛋白2和質膜凝集素Galectin 9之間的相互作用失敗,導致葡萄糖轉運蛋白2內化,從而抑制葡萄糖攝取和葡萄糖刺激的胰島素分泌。還發現高脂飲食抑制了Mgat4a的表達。藍莓的非酰化花色苷和紫色馬鈴薯的酰化花青苷都是如此。編碼脂蛋白脂肪酶的LPL在小鼠肝臟中過表達,導致肝臟甘油三酯含量增加2倍,并導致胰島素抵抗,部分原因是對胰島素的反應受損,抑制內源性葡萄糖的產生。在本研究中,L-NAAB和H-NAAB都下調了ZDF大鼠高水平的LPL,這可能導致胰島素敏感性的改善。早期生長反應基因-1(Egr1)可被胰高血糖素短暫激活,介導胰高血糖素調節的糖異生。AAPP降低Egr1,這可能與糖異生減少有關。

圖2.不同分組差異基因韋恩圖
3、構建PPI網絡圖
基于差異分組的DEGs構建PPI網絡圖,以揭示具有高度連接性的關鍵基因(圖3A?F)。
在CON/M比較中,發現FASN、Acly、AcacA和Srebf1是增加的關鍵中心基因。FASN、Acly和AcacA是Srebf1編碼的甾醇調節元件結合蛋白1(SREBP-1)的靶基因。這些基因的表達是脂肪酸合成所必需的,而在M組,脂肪酸合成增加了。發現M組與CON組和ND組相比,有3個關鍵中心基因增加,分別是GAPDH、Src和ESR1。3-磷酸甘油醛脫氫酶(GAPDH)的活性在糖尿病中明顯受到干擾,Src作為肝臟葡萄糖產生的重要協調者,可以通過G蛋白偶聯受體(GCPRs)、轉化生長因子-β(TGF-β)和活性氧(ROS)在2型糖尿病中被激活。因此,ZDF大鼠可能具有脂肪酸合成活躍和低糖的特征。Fos和Jun是轉錄調節因子激活蛋白1(AP-1)的兩個亞基。AP-1的活性可以受到各種刺激的調節,包括應激信號、細胞因子、感染和生長因子。AP-1在ZDF大鼠中的表達增加是因為氧化應激可以激活Jun氨基末端激酶(JNK)并進一步正向調節AP-1,而抑制JNK可改善糖尿病小鼠的糖耐量和胰島素抵抗。在結果中,M組的Jun比ND組增加,AAPP提取物顯著下調了Jun和Fos的表達。大劑量藍莓花色苷提取物(HNAAB)也下調了Jun的表達。與NAAB提取物相比,AAPP提取物可能具有更好的調節AP-1、緩解胰島素抵抗和改善糖耐量的能力。

圖3.DEGs生成的PPI網絡圖
4、基于ClueGO分析的功能注釋網絡分析
對不同分組中的DEGs進行ClueGO分析,以生成按功能分組的注釋網絡圖(圖4A?F)。在CON/M差異分組的結果中,DEGs主要富集在羧酸生物合成過程、單羧酸代謝過程和對其他有機物的反應過程。在ND/M分組差異結果中,脂肪酸代謝過程、羧酸代謝過程和對有機物的反應過程是富集排名前3的功能分組。在ND/M和CON/M分組中,DEGs主要在單羧酸代謝過程、羧酸生物合成過程、脂肪酸代謝過程、脂肪代謝過程和對有機物的反應過程相關的通路中富集。在L-NAAB/M分組差異結果中,DEGs組要與三個功能通過有關:質膜組織、感覺調節和細胞對脂肪酸的反應。在H-NAAB/M差異結果中,DEGs主要富集于基因沉默的負調控、甘油三酯代謝過程的調控以及RNA聚合酶II啟動子對脅迫反應的轉錄調控。在L-AAPP/M比較中,DEGs在甘油三酯分解代謝過程、骨骼肌細胞分化和軸規范方面都明顯富集。在H-AAPP/M差異結果中,發現轉錄因子AP-1復合體、細胞對白細胞介素-1的反應以及RNA聚合酶II核心啟動子序列特異性DNA結合等通路顯著富集。

圖4.DEG富集的GO注釋網絡圖
5、KEGG通路富集分析
接下來,進行了KEGG通路富集分析。氣泡圖展示富集最顯著的前20條通路(圖5A?F)。與M組相比,Con組上調的DEGs主要富集于以下通路:苯丙氨酸、酪氨酸和色氨酸的生物合成,亞油酸代謝,金黃色葡萄球菌感染,補體和凝血級聯反應,以及甲型流感病毒。ND組與M組相比,上調的DEGs主要富集在花生四烯酸代謝、金黃色葡萄球菌感染、移植物抗宿主病、吞噬小體等通路中,而ND組與M組相比上調的DEGs主要富集在以下通路:苯丙氨酸、酪氨酸和色氨酸的生物合成、亞油酸代謝、金黃色葡萄球菌感染、移植物抗宿主病、吞噬小體。在CON/M和ND/M比較中,下調的DEGs在相似的KEGG通路中富集:不飽和脂肪酸的生物合成、脂肪酸代謝、丙酮酸代謝、脂肪酸伸長、氧化磷酸化和碳代謝。
對于花色苷處理組,L-NAAB組上調的DEGs在N-糖鏈生物合成通路中顯著富集。L-NAAB組下調的DEGs在泛酸和CoA生物合成通路中顯著富集。在H-NAAB、L-AAPP和H-AAPP組中沒有發現下調的DEGs有顯著富集的通路,在H-NAAB和L-AAPP組中上調的DEGs也沒有富集的通路。H-AAPP中上調的DEGs在補體和凝血級聯、不飽和脂肪酸和變形蟲病的生物合成等通路中顯著富集。

圖5.不同分組中差異基因KEGG通路富集圖(部分展示)
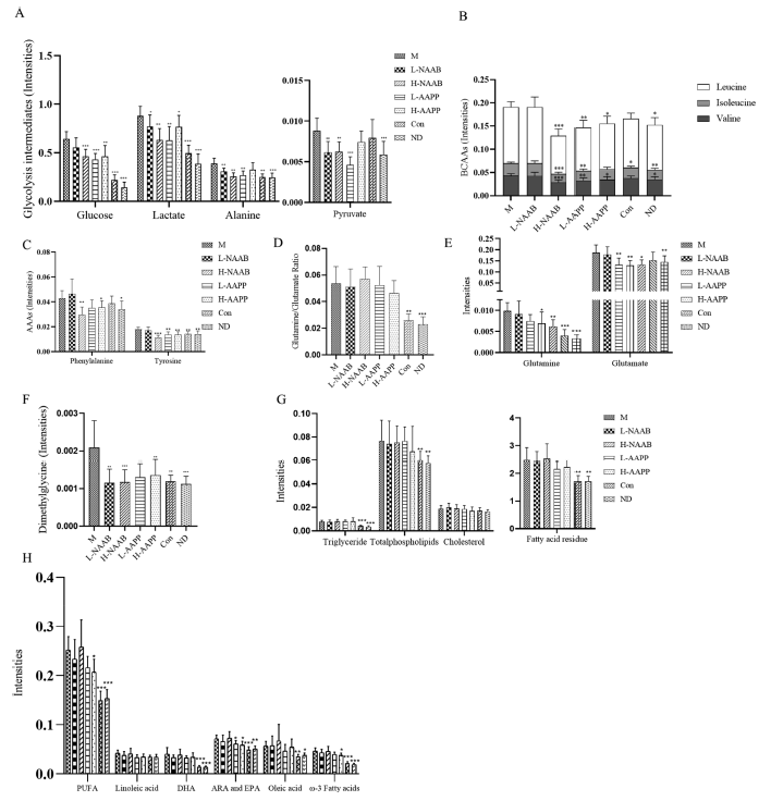
6、利用代謝組檢測代謝物及相關基因的表達
為了從代謝物水平上研究這些花青苷提取物對糖尿病ZDF大鼠肝臟的影響,進行了1H NMR代謝組學研究。糖酵解代謝產物–肝葡萄糖、乳酸、丙氨酸和丙酮酸在M組升高。這可能反映了2型糖尿病患者糖酵解過度。此外,乳酸、甘油、丙氨酸和谷氨酰胺是主要的糖異生前體,占總糖異生的90%以上。結果表明,與對照組(CON和ND)相比,M組的糖酵解和糖異生水平升高。各花色苷處理組大鼠的血糖、乳酸、丙氨酸、丙酮酸和甘油水平均降低,而酰化花色苷(AAPP)處理組還降低了谷氨酰胺水平,表明花色苷提取物降低了肝臟葡萄糖產量,改善了糖酵解和糖異生代謝(圖6A)。
GCK編碼的葡萄糖激酶和PKLR編碼的肝丙酮酸激酶是糖酵解過程中催化不可逆步驟的關鍵酶。GCK和葡糖激酶蛋白水平均降低。NAAB增加了GCK的表達,表明其作為葡糖激酶激活劑的潛在作用。AAPP顯著降低PKLR的表達,提示AAPP可能降低糖尿病大鼠的糖酵解(圖6B?C)。肝糖異生中的兩種限速酶是編碼G6PC(編碼葡萄糖6-磷酸酶催化亞基)和Pck1(編碼磷酸烯醇式丙酮酸羧激酶)。L-AAPP、H-AAPP和H-NAAB顯著降低肝臟中G6pc的表達,這與先前的qPCR結果一致,H-AAPP顯著降低了Pck1的表達。H-NAAB和AAPP在基因表達水平調控糖尿病糖酵解和糖異生。
然而,ZDF大鼠中谷氨酰胺/谷氨酸比值對花青苷提取物無反應(圖6D),但L-AAPP和H-AAPP降低谷氨酰胺和谷氨酸,H-NAAB降低谷氨酸(圖6E)。與M相比,所有花青苷處理組的二甲基甘氨酸升高的水平都被逆轉到正常狀態(圖6F)。與M組相比,編碼甜菜堿-同型半胱氨酸S-甲基轉移酶的BHMT均降低。在脂質代謝產物方面,L-AAPP組和H-AAPP組的肝脂譜略有改善,表現為脂肪酸殘留量、包括ω-3脂肪酸在內的不飽和脂肪酸和Ara+EPA的下降趨勢(圖6G?H)。M組顯示出總體脂質譜增加,如高水平的磷脂、甘油三酯、脂肪酸和不飽和脂肪酸,所有這些都有助于脂肪肝的發展。L-AAPP和H-AAPP組通過調節脂肪酸殘基和不飽和脂肪酸略有改善肝脂代謝。

圖6 NAAB和AAPP處理對ZDF大鼠肝臟代謝產物的影響
7、WGCNA分析
使用DEGs進行WGCNA分析以確定共表達模塊及其與臨床特征的相關性。確定了12個共表達模塊,并與以前報道的各種臨床特征(體重、AST、ALT、血尿素氮、血糖和胰島素)相關(圖7A)。MEgery 60和MEtan模塊與體重、肝重/體重比、血糖、肝糖呈正相關,與天冬氨酸轉氨酶呈負相關。MEgreen和MEgreenyellow模塊與體重、肝重/體重比、血糖、肝糖呈負相關,與AST值呈正相關。
接下來,對MEgrey60和MEtan模塊以及MEgreen和MEgreenyellow模塊中的基因進行了KEGG通路富集分析。結果發現MEgrey60和MEtan中的基因富集的通路主要涉及脂類代謝(脂肪酸代謝、不飽和脂肪酸的生物合成、脂肪細胞脂解的調節)、氨基酸代謝(甘氨酸、絲氨酸和蘇氨酸代謝、半胱氨酸和蛋氨酸代謝、谷胱甘肽代謝)、糖尿病(青少年成熟期糖尿病、II型糖尿病、I型糖尿病、胰島素信號通路)(圖7B)。MEgreen和MEgreenyellow模塊中的基因主要富集在花生四烯酸代謝、視黃醇代謝、代謝途徑、蛋白質輸出、內質網蛋白質加工、類固醇激素生物合成、補體和凝血級聯、亞油酸代謝以及TRP通道的炎癥介質調節(圖7C)。

圖7相關性熱圖及KEGG通路富集分析
總結
綜上所述,本研究首次對紫色馬鈴薯酰化花色苷和藍莓非酰化花色苷對ZDF大鼠肝臟代謝的影響進行了多組學分析。在所有花色苷處理組中,高劑量馬鈴薯花色苷(H-AAPP)處理組的轉錄和代謝特征更接近瘦型Zucker大鼠。發現兩種花色苷提取物,尤其是AAPP,都通過恢復糖酵解相關基因的表達和代謝產物,在基因表達水平上降低AP-1的表達,從而起到有益的作用。
總體而言,本文的研究表明,紫色馬鈴薯中的酰化花色苷是一種廉價的花色苷來源,與藍莓中的非酰化花色苷相比,紫色馬鈴薯中提取的酰化花色苷對肝臟轉錄和代謝譜有更好的調節作用。
https://international.biocloud.net/zh/article/detail/33835816
(復制鏈接到瀏覽器獲取原文,如果沒有云平臺賬號需要先注冊)


京公網安備 11011302003368號