中文題目:SLAF遺傳圖譜定位西蘭空心莖相關QTL
英文題目:Construction of a High-Density Genetic Map and Identification of Loci Related to Hollow Stem Trait in Broccoli (Brassic oleracea L. italica)
期刊:Frontiers in Plant Science
合作單位:浙江農業科學院等
研究背景
材料與方法
表型調查:
分別2014、2015和2017年種植親本、F1及DH群體,2次田間重復,每個重復種植3株;由于2014年環境影響表型數據缺失度較高,如果用這個數據可能影響QTL定位分析,因此,后續作者利用BLUE分析來解決這種由于多年表型數據偏差,使得3年數據均得到利用。因空心莖這個表型調查比較困難,所以只簡單的分為空心莖和非空心莖2種類型。

圖1 雙親及F1表型
方法:SLAF測序,HighMap構建遺傳圖譜,IciMapping進行QTL定位,MapQTL進行BLUE分析及QTL定位
結果與分析
1、SLAF遺傳圖譜
測序數據與 TO1000基因組進行比對,比對率為75.99%,有24.01%是沒有比對上的,比對率較低主要是可能由于2種原因導致——基因組差異和結構變異。因為西蘭花和甘藍型TO1000是2個品種,由此可見一個物種中一個品種的基因組并不能包含這個物種所有的信息。
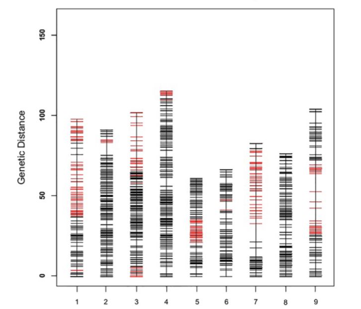
開發了185,349個SLAF標記,其中,20,250個SLAF標記可以成功分型,最終上圖的標記為4787個,分布于9個LG中,構建一張平均圖距為0.22cM的遺傳圖譜(如下圖),標記間最大gap超過10cM,這可能是由于小孢子培養構建DH群體的過程中,可能某種基因型更容易形成胚胎和再生植株,從而產生偏分離或某段染色體區域中無個體發生重組。

圖2 西蘭花遺傳圖譜
2、QTL定位
利用3年表型數據定位到8個相關位點,其中QHS.C09-1的表型變異率為15.6%(叮咚——有主效位點了,盤它),其余位點均為小于10%。還有上面的小助手BLUE也幫助找到了一個位點QHS.C09-2,其表型變異率為14.1%。其中QHS.C09-1和QHS.C09-2存在部分重疊,因此認為QHS.C09-2也是與空心莖相關的主效QTL。

圖3 QTL定位結果

圖4 BLUE分析結果
這篇文章只做到了這里,但是作者還發現空心莖的空腔是不規則的,空腔的橫截面的長寬不同,這表明可能是不同的基因位點或基因分別控制空腔的橫截面寬度和縱向方向,作者正在想辦法克服表型調查的困難,尋求能測量空心莖的空腔差異的方法。
中文題目:SLAF遺傳圖譜定位辣椒花部性狀相關QTL
英文題目:Construction of a high density genetic map of an interspecifc cross of Capsicum chinense and Capsicum annuum and QTL analysis of foral traits
期刊:Scientific Reports
合作單位:華南農業大學
研究背景
材料與方法
材料:inbred lines 740 (C. chinense) and CA1 (C. annuum)種間雜交,150個F2單株和150個F2:3家系
表型:2014年秋、2015和2017春年分別種植雙親、F1和F2:3家系,2次田間重復,每個重復種植8株。調查花期和單節花數。
花期:基于90天的第三節的處于果實/花發育階段的情況,將花期等級劃分1-6,0為明顯花芽,1為花芽或花,2為小果,3為小到中果,4為中果,5為中到大果,6為熟果。
單節花數:以第五節開花數能明顯區分為止,調查每個植株前五節的單節花數,每個F2:3家系取均值用于代表對應F2單株的表型。

圖5 雙親、F1和F2的表型
方法:SLAF測序,HighMap構建遺傳圖譜(Zunla-1基因組),R/QTL和QTL.gCIMapping.GUI進行QTL定位,表達分析用qRT-PCR和 WGCNA
結果與分析
開發了406,563個SLAF標簽,171,413個是為多態的,其中94,733個SLAF標簽可成功分型,最終構建了含有9,038 個標記的遺傳圖譜,12個LGs,總圖距為1,586.78 cM,平均圖距為0.18 cM?;蚪M與遺傳圖譜共線性均≥0.9。

圖6 辣椒遺傳圖譜
2、QTL定位
雙親、F1及F2:3家系,3年3個環境下的表型調查,發現雙親均為極端類型,而F1和F2:3家系均趨向于中親類型,認為花期和單節花數為數量性狀。利用R/QTL定位到6個QTL,3個與花期相關,3個與單節花數相關。他們分別能夠解釋46.35-50.37%和99.13-99.76%的花期和單節花數的表型變異。利用QTL.gCIMapping.GUI定位到了2個與單節花數相關的新微效QTL。
3、候選基因預測
花期相關基因:針對主效QTL——Ft2.1進行重點分析,它處于遺傳圖譜上的區間為0.763cM,對應的Zunla-1基因組上物理區間為210Kb,包含25個基因,其中存在之前鑒定到的Capana02g000700基因,編碼花器官同源異型蛋白。進化分析表明Capana02g000700的同源基因,金魚草LIP1和LIP2、擬南芥APETALA2和辣椒CaAP2,均在花器官發育階段存在重要作用。同時,比對雙親間序列差異,發現8個SNP標記和1個6bp的InDel標記,這導致親本CA1存在2個氨基酸的缺失和5個氨基酸的改變。繼DNA層面分析之后,RNA層面的分析qRT-PCR和RNA-seq表明,這個基因在雙親間存在差異表達,且在花器官中表達量最高,最終認為Capana02g000700就是控制花期的候選基因。
單節花數相關基因:主效QTL——Mf2.1,它處于遺傳圖譜上的區間為0.382cM,對應的Zunla-1基因組上物理區間為1400Kb,包含98個基因。單節花數是基于芽尖的分生組織變化產生的差異,已由報道表明營養生長轉變為生殖生長過程中,產生明顯表達差異的為轉錄因子(TF)。且Mf2.1定位區間內也包含很多TFs。結合已報道的中間營養分生組織、過渡分生組織和成花分生組織的轉錄組數據,發現在過渡分生組織中多數基因表達是上調,其中包含不同家族的TF,因此將這些上調的TF作為控制單節花數的候選基因。

圖6 主效QTLFt2.1的局部連鎖圖和基因表達分析
4、基因共表達分析
WGCNA(加權基因共表達網絡分析),是一種分析多個樣本表達模式的分析方法。該分析方法旨在尋找協同表達的基因模塊(module),并探索基因模塊與關注的表型之間的關聯關系,以及網絡中的核心基因。
利用之前研究的不同發育階段和不同組織部的WGCNA分析結果,找到了花器官發育特定模塊,其中包含107個基因。這些基因中10個為TFs,其中就包含已鑒定的Capana02g000700,這表明這些TFs可能與花發育的轉錄調控相關。這107個基因中,發現9個基因與Capana02g000700高度共表達,分為3個家族,且其功能均與花發育相關。上述,均表明Capana02g000700通過抑制靶基因和/或TF表達來控制花器官發育,進而影響花期。


圖7 基因共表達網絡分析
- 利用F2:3家系對F2群體表型進行多年考查;
- 利用BLUE分析解決當不同年份的環境變化大的問題;
- 利用WGCNA找到目標性狀調控網絡和其中的核心基因。
如果您的項目有任何問題,歡迎點擊下方按鈕咨詢我們,我們將免費為您設計文章方案。
參考文獻
1、Yu H, Wang J, Zhao Z,et al.Construction of a High-Density Genetic Map and Identification of Loci Related to Hollow Stem Trait in Broccoli (Brassic oleracea L. italica)[J].Frontiers in Plant Science,2019,10:45? ?doi: 10.3389/fpls.2019.00045
2、Zhu Z, Sun B, Wei J,et al.Construction of a high density genetic map of an interspecifc cross of Capsicum chinense and Capsicum annuum and QTL analysis of foral traits[J].Scientific Reports,2019,9(1):1054.doi: 10.1038/s41598-018-38370-0
延伸閱讀



京公網安備 11011302003368號